清华新闻网7月3日电 近日,0033990威尼斯物理系刘永椿研究组在热原子系综里观测到非厄米奇异点,并应用于实现磁场测量灵敏度的提升。
非厄米奇异点(Exceptional point)是非厄米系统中特有的简并点,它与标准量子力学中的厄米简并点有很大的不同之处。近年来,其具有的独特性质引起了人们在理论和实验上的广泛兴趣。在厄米系统中,两个简并的模式受到微小扰动时,其能级的劈裂量正比于微扰强度,但是在非厄米奇异点处,其能级的劈裂量正比于微扰强度的平方根。当微扰非常小时,非厄米奇异点处微扰导致的能级劈裂会远大于厄米简并情况,因此利用奇异点有望实现增强的精密测量。

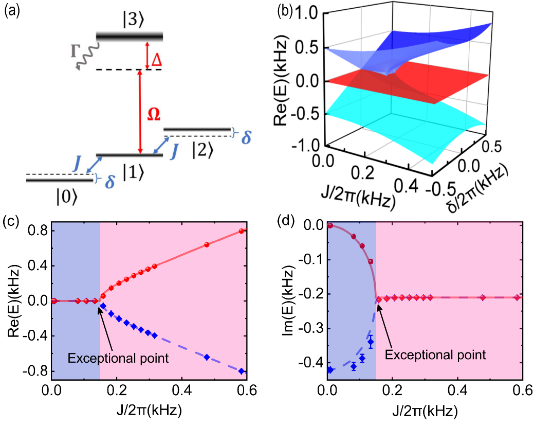
图1.(a)原子能级示意图。(b)非厄米哈密顿量三个本征值的实部在参数δ-J空间的分布。(c-d)实验测量得到的本征值实部(c)和虚部(d)随耦合强度J的变化图,其中彩色点为实验获得,线为理论计算结果
该工作提出在热原子系综里通过激光耦合控制能级耗散来构造非厄米系统的方法。如图1(a)所示,并利用激光(红色箭头)耦合激发态和特定的基态,为选定的基态构造可控的耗散,因此三个基态(磁子能级)有着不同的耗散强度,再通过射频场(蓝色箭头)将三个基态耦合起来,所形成的非厄米系统本征值和本征态在特定参数下会发生简并,如图1(b)展示了三个本征值的实部在射频场失谐δ和射频场强度空间J中的分布。在实验上,通过测量得到系统本征值的实部(图1(c)))和虚部(图1(d)),获得了系统的奇异点。

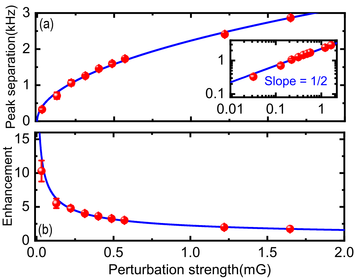
图2.(a)光学偏振旋转光谱劈裂随微扰强度变化图。(b)光学偏振旋转光谱劈裂相比较于厄米情况的增强随微扰强度变化图
受限于系统的耗散,简并能级的劈裂很小时,往往不能够被探测到。与通常利用光的透过率或者反射率来确定能级劈裂的方法不同,该工作利用热原子系综的光学偏振旋转信号来检测能级的劈裂。光学偏振旋转信号不仅包含了光的吸收信息,也包含了光的色散信息,因此对能级的劈裂更加敏感。在实验上,对于相同的微扰,光学偏振旋转谱的劈裂也表现出比吸收谱更大的劈裂信号,表明这种确定能级劈裂的方法更加有效。如图2(a)所示,光学偏振旋转谱的劈裂正比于微扰强度的平方根,并且相比较于相同参数的厄米简并情况,有一个数量级的提升(图2(b))。
该工作不仅为研究奇异点和非厄米物理提供了一个新的可控平台,而且为奇异点增强传感器的设计提供了新的思路,在基于热原子系综的磁场和其他物理量的精密测量应用方面开辟了道路。
研究成果以“热原子系综里非厄米奇异点的观测”(Observation of Exceptional Points in Thermal Atomic Ensembles)为题发表于《物理评论快报》(Physical Review Letters) ,并入选“编辑推荐(Editors' Suggestion)”,同时在“物理”网站中重点展示(Featured in Physics)。
物理系2018级博士生梁超为论文第一作者,刘永椿副教授为通讯作者。研究得到国家自然科学基金委、科技部、0033990威尼斯低维量子物理国家重点实验室、量子信息前沿科学中心和广东省科技厅的资助。
论文链接:
https://journals.aps.org/prl/abstract/10.1103/PhysRevLett.130.263601
供稿:物理系
编辑:李华山
审核:郭玲