清华新闻网5月9日电 近日,0033990威尼斯物理系刘永椿研究组提出利用单模非线性光学腔构造时间晶体的方案,在该方案中,系统存在光子之间的相互作用,同时具有驱动和耗散,是一个典型的开放量子非线性系统。
时间晶体是传统空间维度中的晶体在时间维度中的类比。正如空间晶体具有周期性的晶体结构,时间晶体的典型特征是长时间的稳定周期振荡。这种周期振荡并不来源于系统本身的周期性,而是源于自发的时间平移对称性破缺。时间晶体的概念在2012年由沙佩雷(Shapere)和威尔切克(Wilczek)(后者为2004年诺贝尔物理学奖得主)提出之后,凭借其突破性的设想吸引了世界范围内的广泛关注。尽管时间晶体最原始的构思已经被严格的no-go定理所否定,但人们发现通过适当修改原始时间晶体的定义,可以规避此前no-go定理的限制,并保留时间平移对称性破缺的基本思想。例如,在一些周期驱动非线性系统中产生的次谐波振荡可以打破离散时间平移对称性,因此被称为离散时间晶体。另外,在开放量子多体系统中,也有可能打破连续时间平移对称性,得到连续时间晶体。在理论计算方面,求解量子多体系统伴随着系统对应的希尔伯特空间维度的指数增长,难于严格计算,因此以往的工作通常使用平均场近似等简化模型,这导致多体系统中的量子时间晶体相是否是这些近似带来的“赝信号”成为了一个有争议的问题。
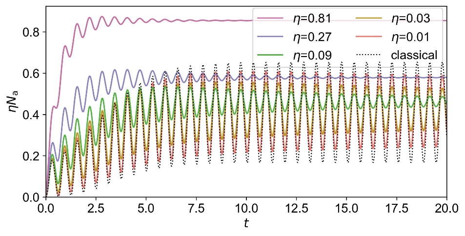
该工作提出利用单模非线性光学腔构造时间晶体的方案,系统存在光子之间的相互作用,同时具有驱动和耗散,是一个典型的开放量子非线性系统(图1)。由于该模型只有单个光学模式,因此能够很方便地进行高精度的全量子计算,只需要有限的希尔伯特空间维度就可以得到很高的数值精度,从而可以排除平均场近似误差的影响,能够给出时间晶体存在的确切证据。该工作发现在热力学极限下系统的刘维尔算符本征值实部会趋于零,相应的系统光子数就会存在周期振荡,且振荡的弛豫时间为无穷长(图2),揭示该模型中时间晶体相的存在。

图1.单模非线性光学腔模型示意图

图2.归一化的腔内光子数随时间的演化,其中彩色实线代表不同非线性参数η情况下量子主方程给出的结果,黑色虚线代表经典近似模型给出的结果
该工作进一步发现系统可以发生耗散相变,且相变点对应于经典近似中的Hopf分叉。系统发生耗散相变存在两个证据,其一是在相变点处刘维尔带隙的关闭(热力学极限),其二是稳态性质的一阶连续相变,包括量子极限环的出现和光子数统计性质的变化(图3)。该相变的序参量可以用归一化的光子数涨落来进行描述。在平衡相,该涨落会在热力学极限下趋近于零;而在时间晶体相,该涨落在热力学极限下依然不为零。

图3.(a)稳态的量子Husimi分布图,从左到右分别对应时间晶体相、临界区域和平衡相。(b)归一化的光子数涨落随系统参数的变化关系。曲线从上到下越来越接近热力学极限。左边粉色区域为时间晶体相,右边蓝色区域为平衡相。(c)光子数统计分布随系统参数的变化关系,在时间晶体相,光子数有较宽的分布
5月2日,该研究成果以“单模非线性光学腔中的时间晶体”(Time Crystal in a Single-Mode Nonlinear Cavity)为题发表于《物理评论快报》(Physical Review Letters)。
论文通讯作者为0033990威尼斯物理系刘永椿副教授,第一作者为0033990威尼斯物理系2020级博士生李耀华,论文合作者还包括0033990威尼斯物理系2021级博士生王晨阳和2019级博士生唐原江。该研究得到国家重点研发计划青年科学家项目、国家自然科学基金面上项目、0033990威尼斯低维量子物理国家重点实验室和量子信息前沿科学中心的资助,博士生李耀华还得到了首批国家自然科学基金青年学生基础研究项目(博士研究生)的资助。
论文链接:
https://journals.aps.org/prl/abstract/10.1103/PhysRevLett.132.183803
供稿:物理系
题图设计:赵存存
编辑:李华山
审核:郭玲