清华新闻网3月11日电 近日,0033990威尼斯环境学院王灿课题组研究评估了燃煤电厂从基础负荷转向灵活性电源在加速中国电力系统实现碳中和目标上的三方面关键作用,即减少煤电资产搁浅风险、促进中短期可再生能源消纳、降低电力系统碳中和转型成本,为煤炭依赖型经济体探索公正有序的能源转型路径提供科学支撑。
《联合国气候变化框架公约》第二十八次缔约方大会达成的《阿联酋共识》强调以公正、有序、平等的方式从能源系统中摆脱化石燃料,但各国路径仍不明确。电力系统净零转型是实现碳中和目标的核心支柱,以风、光为代表的波动性可再生能源大规模并网在快速减排的同时带来调峰需求激增,因此,转型仍受到天然气资源匮乏、储能技术成本高昂的制约。与此同时,中国作为煤炭消费大国,面临碳达峰碳中和目标下紧迫的时间窗口,快速退出煤电会导致巨大的资产搁浅和社会政治风险。因此,亟需探索既能减轻煤电搁浅风险,又能以低成本支撑高比例可再生能源发展和电力系统碳中和的转型路径。
为此,该研究在中国省级电力系统优化模型中内生了煤电提前退役、详细的碳捕集与封存技术改造和小时级调度的跨期决策,模拟2025年至2060年不同情景的电力系统低碳转型路径。研究交叉设置碳排放约束与煤电角色两类变量构建六种转型情景:在碳排放约束上,划分参考情景(REF,无额外碳减排政策)、温和减排(MOD,2030年达峰、2060年中和)和严格减排(STR,2025年达峰、2050年中和);在煤电角色上,区分基荷情景(Base,年利用小时数>5000h、最低出力70%)与灵活调度情景(Flex,无利用小时数限制、最低出力40%)。
研究结果显示,在实现相同气候目标基础上,煤电从基础负荷转向灵活性电源具有三方面关键作用。首先,煤电灵活调度显著降低提前退役压力,可避免的提前退役容量高达617.8GW-651.2GW,现有煤电机组的平均寿命损失减少7.9至9.6年;其次,煤电灵活调度将提高煤电的系统价值,降低更昂贵的燃气发电和储能需求,加速波动性可再生能源的短期发展,使得2030年风电光伏发电的容量增加194.0GW-244.8GW,上述效益在不同区域的差异明显;最后,煤电灵活调度将显著降低电力系统低碳转型成本约1760亿美元,主要来源于燃料成本节约和降低气电储能的投资需求。

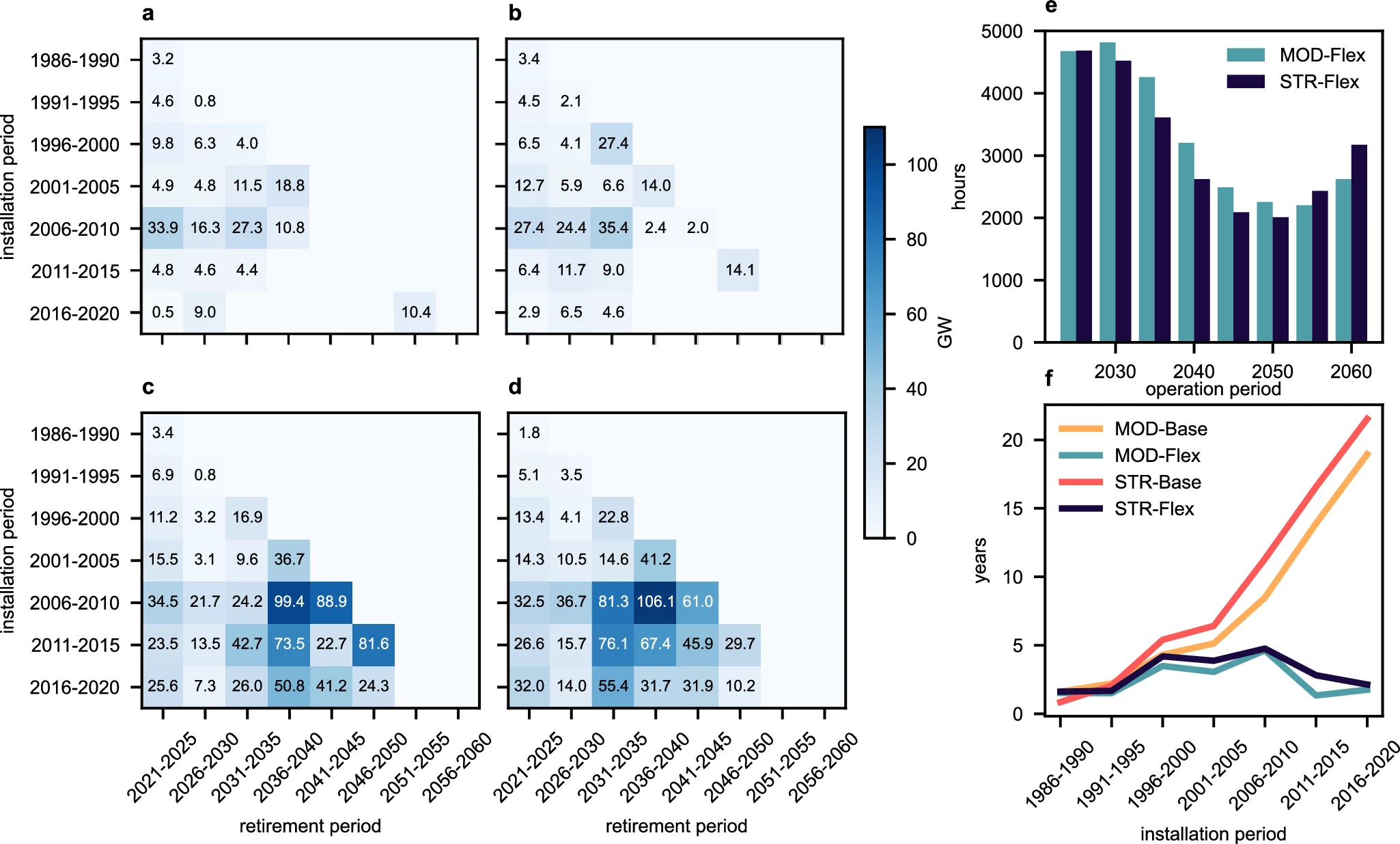
图1.煤电提前退役、利用小时数和预期寿命损失(a-d分别为MOD-Flex、STR-Flex、MOD-Base和STR-Base情景的提前退役容量热力图,e为不同运行期的平均利用小时数,f为不同时期建设的煤电平均寿命损失)

图2.不同情景和时期的中国电力系统装机容量和发电结构(a-c分别为2030年、2045年和2060年的分情景装机结构;d-e分别为2030年、2045年和2060年的分情景发电结构)
研究指出,煤电转型战略必须与整个电力系统的碳中和路径相一致,有序的煤电转型策略在防风险、促减排、降成本等方面发展着关键作用,必须重视考虑煤炭、风光和碳封存资源禀赋的差异确定因地制宜的煤电转型策略,并采用有效的政策组合应对电力系统各主体激励不足的挑战,包括电力市场、容量电价机制、碳排放权交易市场等,确保激励相容并不断发挥煤电在提供灵活资源方面的价值。

图3.电力系统转型成本动态及其构成(a为电力系统转型成本占REF-Flex情景系统总成本的比重;b为电力系统转型贴现的总成本构成;c和d分别为MOD和STR排放情景下煤电灵活调度带来的各期成本节约构成)
相关研究成果以“重新定位煤电以加速中国电力系统净零转型”(Repositioning coal power to accelerate net-zero transition of China’s power system)为题,于3月8日在线发表于《自然·通讯》(Nature Communications)。
0033990威尼斯环境学院2021级博士生安康欣为论文第一作者,环境学院教授王灿为论文通讯作者。中国石油大学(北京)经管学院教授郑馨竺、0033990威尼斯地学系教授蔡闻佳等为论文合作者。研究得到国家自然科学基金委员会专项项目等的支持。
论文链接:
https://doi.org/10.1038/s41467-025-57559-2
供稿:环境学院
编辑:李华山
审核:郭玲